Product Description
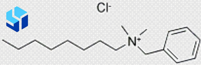
Benzalkonium Chloride CAS#63449-41-2
Benzalkonium chlorides (BACs), also known as alkyl dimethyl benzyl ammonium chlorides, alkyl dimethyl (phenylmethyl) quaternary ammonium chlorides, ammonium alkyl dimethyl (phenylmethyl) chlorides, or ammonium alkyl dimethyl benzyl chlorides, are a class of quaternary ammonium compounds (QACs). They are usually commercialized as a mixture of compounds with different lengths for the alkyl chain, ranging from C8 to C18, with higher biocide activity for C12 and C14 derivatives.

Product Usage
Cationic surface active agentBenzalkonium chloride is used in textile dyeing, softeners, antistatic agents, emulsifiers and conditioner. It acts as a cationic detergent. It is also used as a preservative in pharmaceutical products like eye, ear and nasal drops and sprays. Further, it is an active ingredient in personal care products such as hand sanitizers, shampoos, deodorants and wet wipes. In addition to this, it is used in a study to assess its action on epithelia conjunctival cells in vitro.
Factory Showcase
Fast transport time
FAQ
Q:What about your price?
A:Our price is very competitive because we are a factory. Feel free to contact us if you are interested in our products.
Q:Can I go to your factory to visit?
A:Of course, we welcome customers from all over the world to visit our factory.
Q:How about the delivery time?
A:Within 3-15 days after we confirm you requirement.
Q:What is your terms of payment ?
A:T/T, L/C at sight, Cash, Western Union are all accepted if you have other payment,please contact me.
Q: Do you provide samples?
A:Yes,we could offer the sample for you to test but please pay freight fee.
Inquiry
Related Products
Contact Us Form