Product Description
Dextran CAS #9004-54-0
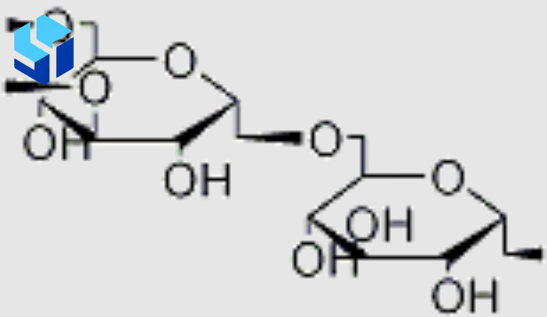
Dextran, a glucose polymer composed predominantly of ol-1,6-glucopyranosidic linkages, is produced from sucrose by Leuconostoc mesenteroides and related organisms and from dextrins by other bacteria.
Dextran is used in a bead form to aid in bioreactor applications, some size-exclusion chromatography matrices and in osmotic stress technique study involved in biological molecules. It can be used as a stabilizing coating to protect metal nanoparticles from oxidation.
Dextrans are long-chain glucose polysaccharides of various relative molecular masses. Dextran 70 (relative molecular mass 70 000) is retained in the intravascular space where, like albumin, it contributes to the colloid oncotic pressure of plasma. Unlike albumin, dextran 70, when given in large amounts, prevents platelet aggregation and facilitates fibrinolysis.

Product Usage
Kojic acid (CAS # 501-30-4) has a wide range of applications. In the field of cosmetics, by inhibiting tyrosinase activity and antioxidant properties, it is used in whitening creams and other products to whiten and remove freckles, and is also added to sunscreen products to enhance sun protection; In the field of food, the use of antibacterial and antioxidant effects can not only keep fruit and vegetable meat fresh, but also protect the color in processed foods such as fruit juice; In the field of medicine, it can treat pigmented skin diseases such as melasma, and can also be antibacterial and anti-inflammatory in topical drugs; In addition, it can be used as a plant growth regulator in agriculture and as an antioxidant and metal ion chelating agent in industrial production.
Factory Showcase
Fast transport time
FAQ
Q:What about your price?
A:Our price is very competitive because we are a factory. Feel free to contact us if you are interested in our products.
Q:Can I go to your factory to visit?
A:Of course, we welcome customers from all over the world to visit our factory.
Q:How about the delivery time?
A:Within 3-15 days after we confirm you requirement.
Q:What is your terms of payment ?
A:T/T, L/C at sight, Cash, Western Union are all accepted if you have other payment,please contact me.
Q: Do you provide samples?
A:Yes,we could offer the sample for you to test but please pay freight fee.
Inquiry
Related Products
Contact Us Form